

|
UNSOLVED PROBLEMS |
|
In Number Theory, Logic, and Cryptography |
|
Riemann Hypothesis |
|
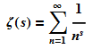
The Riemann Hypothesis only just qualifies for these pages, as a greater level of mathematical sophistication is required for its understanding than for the other problems on this site. The Clay Mathematics Institute is offering a prize of $1,000,000 for a valid proof. The Riemann zeta-function ζ(s) is a function of a complex variable s defined by :
using analytical continuation for all complex s ≠ 1. The Riemann Hypothesis states that all of the non-trivial zeroes of this function lie on a vertical straight line with real part equal to exactly 1/2. The problem is to prove the hypothesis, or find a counter-example..
For further information, please see: [1] http://mathworld.wolfram.com/RiemannHypothesis.html [2] http://www.claymath.org/millennium/Riemann_Hypothesis/ [3] http://en.wikipedia.org/wiki/Riemann_hypothesis
You can check for contributions to this problem on the solutions page.
——————————–- This web site developed and maintained by Tim S Roberts Email: timro21@gmail.com |